.png)
同時還可能產生TBCC的水解和二酰化反應,得到的N-4-三乙基銨甲撐苯甲酸和過氧化二酰化合物,都沒有漂白活化作用,以上兩反應都是在pH下降的情況下產生的,TBCC活化最佳pH值是11.6。
.png)
THCTS的過氧化反應和2個副反應與TBCC相同。
上述4個過氧化物活化劑(TAED、NOBS、TBCC、THCTS)的分子結構中都存在羰基。羰基中由于氧的負電性高于碳,電子云密度趨于氧原子,碳原子處于缺電子狀態(部分負電荷),遂與HOO-產生親核加成反應,去除離基后生成過氧化有機酸。反應如下:
.png)
該反應的難易取決于活化劑的羧基碳原子的正電負性和離基的性質,比較以上4個活化劑的羧基,顯然季銨鹽型陽離子的缺電子性和己內酰胺羧基吸電子性影響,羧基碳原子的正電負性最大;其次是NOBS受苯磺酸吸電子性的影響,酰氧基碳原子的正電負性也較大;而TAED羧基碳原子的正電負性最小。
其次是離基離去的難易取決于獲取電子的能力大小,它們的次序根據電負性大小應該是:
己內酰胺>對羥基苯磺酸鈉>二乙酰基乙二胺
由此可以得出結論,它們的活性次序是: TBCC(THCTS)>NOBS>TAED。
由于TBCC和THCTS是陽離子型活化劑,在漂白液中呈陰離子性的紡織品(水中纖維表面電荷(pH7時),棉-26mv,粘膠-29mv,羊毛-47mv,蠶絲-28mv)有較強的吸附。它們既是漂白活化劑,又是陽離子型活化劑,與NOBS相比,活化能力更強。用于冷軋堆漂練時可由24小時縮短到4~6小時。在雙氧水熱漂工藝中,溫度可以降低,白度比常規漂白還好,有利于節能;因為在與常規工藝同為95℃漂白時,堿濃度可以降低,尤其適用于對堿劑敏感的纖維,如:Tencel、氨綸、羊毛等及其與棉混紡織物。
應用上述過氧有機酸活化劑時,還應添加適量的金屬螯合劑,如二乙烯五甲叉膦酸(DTPMP),目的是防止HOO-離子被重金屬離子催化分解,起到穩定作用。過氧有機酸活化劑的固態比較穩定,而它們的水溶液不如固態穩定,因此只能用固態存放,不宜預先配成溶液,必需應用前進行溶解配制漂液。
4甜菜堿衍生物兩性型活化劑
開發節能型漂白活化劑
2012-05-14 來源: 陳榮圻 點擊次數:94
關鍵字: 漂白活化劑;酰基類活化劑;甜菜堿類活化劑;節能型
TBCC和THCTS等季銨鹽類陽離子型活化劑的陰離子過氧酸也是一種兩性型活化劑。北京工商大學化學與環境工程學院劉云等人提出甜菜堿氨基腈化合物(BAN)活化劑[17],它由甜菜堿通過二氯亞砜酰氯化后與氨基乙胺腈反應,得到甜菜堿酰胺乙氨基腈氯化物,屬季銨鹽類陽離子型化合物。反應如下:
.png)
含酰基的TAED、NOBS、TBCC和THCTS的漂白活化機理都是過氧化氫陰離子對酰基碳原子發生親核取代反應,生成過氧羧酸。關鍵是過氧化氫陰離子的親核試劑對酰基碳原子的進攻需要較高的能量。
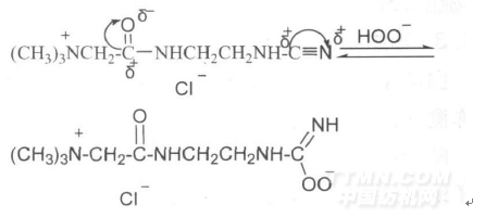
上述甜菜堿衍生物因引入氰氨基,親核試劑過氧化氫陰離子進攻不太穩定的三鍵氰基,生成活性很強的亞胺過氧酸陰離子,使該化合物具有更高的活性。反應如下:
.png)
從分子結構式看有酰基碳原子和氰基碳原子兩個親核試劑進攻點,但更傾向進攻氰基,而且不存在離基的離去而生成亞胺過氧化酸陰離子。酰基碳原子相對進攻較難,既有大分子離基離去,又有空間障礙存在。
因此該化合物較前述四述漂白活化劑的活性更大,可能在更低溫度和緩和條件下漂白去污。
5結語
TAED、NBOS、TBCC、THCTS和BAN分別為非離子型、陰離子型、陽離子型和兩性型漂白活化劑,它們的活化程度和對織物的親和力不同,產生漂白的效果也不同。
pH值對活化性能和漂白去污效果有很大影響,各種活化劑對pH值要求不同。由于形成過氧有機酸的同時,其離基留存于漂液中,尤其是TAED和NBOS的離基呈酸性,將使漂液pH值下降,使活性降低,控制pH值非常重要。
以上4種漂白活化劑與傳統雙氧水漂白工藝相比,可使冷軋堆工藝堆放時間縮短到8小時或更短些;熱漂工藝溫度可由95℃以上降到70℃,或更低些;在常規工藝相同溫度和時間條件下,可以適當減少堿劑用量;由此提高了漂白織物的強力和棉纖維的聚合度,減少了纖維的損傷。總之,可節約能源,縮短工時,提高產品質量。但是存在一些問題需待進一步研究。
(1)有機過氧酸漂白機理至今處于研究的初級階段,實際上雙氧水漂白機理雖已有數十年的研究歷程,至今仍沒有一個公認的漂白機理。而這兩種漂白機理是完全不同的。
(2)如何控制好活化劑與雙氧水之間的反應。例如TBCC在雙氧水和燒堿存在下有三種可能的反應,即:TBCC與HOO-,水解和二酰化反應,后2種反應是不希望出現,應減少到最低程度。
(3)活化劑和雙氧水的摩爾比,例如1摩爾TAED(216g)和2摩爾H2O2(68g)反應,生成活化劑,TAED用量是100%雙氧水的三倍,如此才能發揮漂白活化作用。但是漂白活化劑很貴,最便宜的TAED,市價也在32元/公斤左右,其他漂白活化劑更貴,所以嚴重影響加工成本。TAED國內已在上虞生產;NBOS在中山漢科精細化公司試生產成功,國外P&S已供應市場。
<<上一頁[1][2][3]
相關信息 







推薦企業
推薦企業
推薦企業