雙氧水是一類優良的氧化型漂白劑,因具有漂白產品純正、白度穩定性良好、沒有污染、不腐蝕設備等優點,所以廣泛用于纖維素纖維及其他纖維的漂白。雙氧水漂白的作用機理至今仍未形成定論,尚在探討之中,為大多數業界接受的有兩種說法,即:過氧化氫像弱酸一樣,在堿性介質中離解為過氧化氫負離子。
H2O2+OH≒HOO-+H2O
過氧化氫負離子又是一種親核試劑,具有引發過氧化氫形成游離基的作用。
HOO-+H2O2≒HOO·+HO·+OH-
兩者都有較高的活性,可使色素氧化分解而產生漂白作用。但是,雙氧水分解產物很復雜,遠非上述反應簡單,真正起漂白作用的有效成份是其中一部份,甚至相當少的一部分,大部份是無效分解。加入穩定劑以控制由于重金屬離子催化作用促使雙氧水分解,目的是降低無效分解,提高雙氧水利用率。但是常用穩定劑中,水玻璃分解率,AR-750 13%,Prestogen EB 16%,都要在95℃時漂白,利用率仍不高。因此,提高有效分解率,降低無效分解,并使漂白溫度下降是目前國內外研究開發的熱點。
有人發現用乙酸或乙酸酐在濃硫酸催化下與過氧化氫反應得到過氧乙酸,由于它的活化能比雙氧水低,而氧化電位比雙氧水高,可以在較低溫度下活化,可以低溫漂白,而氧化能力卻高于雙氧水[1, 2]。
但是,過氧乙酸不能受熱,加熱至110℃,將引起爆炸,在上式反應中的生成物過氧乙酸與未反應的乙酸生成具有高度爆炸性的過氧化二乙酰(Diarylperoxide)。
.png)
過氧乙酸一直未能確立其工業化生產可能是上
述因素所致。由此啟發,通過酰氯或酸酐將酰基接枝在含氮,含氧或含硫的化合物上,其生成物在雙氧水存在下生成過酰基化合物,即過氧羧酸化合物,同時分離出離去基。因過羧酸的漂白活化能低,分解物中含有發生漂白作用的成份多,使雙氧水的利用率大大高于雙氧水,而起到漂白活化作用,同時能使漂白溫度降低[3-6],并減少纖維在高溫和高堿條件下的損傷程度。
很多家用洗滌劑中加入過硼酸鈉或過碳酸鈉活性氧漂白劑,為強化低溫漂白效果,還加入漂白活化劑四乙酰乙二胺(TAED)或壬酰氧基苯磺酸鈉(NOBS),已在歐美廣泛使用。漂白活化劑能與過氧化氫負離子(HOO-)作用生成漂白能力明顯強于雙氧水的過氧羧酸,從而使洗滌劑具有較好的低溫漂白能力[8]。
用于氧漂的活化劑與家用洗滌劑中施加的漂白活化劑完成相同,按照它們的發展歷程有以下一些品種:四乙酰基乙二胺(TAED)、壬酰氧基苯磺酸鈉(NOBS)、N 4-(三乙基銨甲撐)苯酰基己內酰胺氯化物(TBCC)、6 N,N,N-三甲基銨甲撐己酰基己內酰胺對甲苯磺酸(THCTS)和甜菜堿氨基腈氯化物(BAN)等。
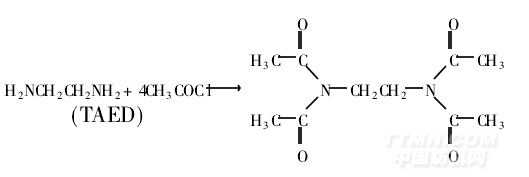
1酰氨基類化合物活化劑
這類化合物的代表性品種為四乙酰基乙二胺(Tetra Acetryl Ethylene Diamine, TAED) (CAS, NO,10543-57-4),是第一代商業化的漂白活化體, TAED無毒性、生物降解性好、合成工藝簡單、性價比高,但其水溶性不高,略有氣味,最佳有效溫度60℃~70℃。TAED是由乙二胺與乙酰氯反應而得。
.png)
在較低溫度和堿性條件下,TAED遇到過氧化陰離子生成具有更強漂白活性的過氧乙酸陰離子。
.png)
過氧乙酸的氧化電位很高,僅次于臭氧,高于其他常用漂白劑。它們分別為:過氧乙酸(1·81ev. ),臭氧(2·07ev. )、過氧化氫(1·33ev. )、次氯酸鈉(1·36ev. )、二氧化氯(1·57ev. )。
[1][2][3]下一頁>>
相關信息 







推薦企業
推薦企業
推薦企業