O前言
與傳統的化學處理工藝相比,生物酶精練前處理技術不僅節能環保,而且操作安全簡便,具有良好的發展前景。由于棉籽殼結構致密,組分復雜,如何將其有效去除,一直是棉織物酶精練的難點。研究表明,棉籽殼外表皮層以角質、蠟質、果膠和纖維素為主;柵欄層主要含果膠、半纖維素和木質素;內色素層和外色素層主要化學組分一致,以帶有酚類化合物的木質素為主;無色層主要以木質素類芳環類化合物為主[1]。
閻賀靜等人[3]利用堿性木聚糖酶、角質酶、堿性果膠酶、堿性纖維素酶和堿性脂肪酶等降解棉籽殼,并發現堿性木聚糖酶的降解最有效,但是用單一酶制劑精練無法達到理想的降解程度。將前4種酶復配使用,可明顯提高棉籽殼的去除率,最高可達10.7%。Csisz6r等人刮對酶降解棉籽殼的作用進行了多方面的研究,取得了一定的進展,但仍不能解決酶精練工藝中棉籽殼難以去除的實際問題。
由于酶活力及其應用效果與使用條件有相當大的關系,不同酶的最適pH值和溫度等也各有不同,因此,在同一反應條件下,發揮復合酶中各酶的活力,以確保在同一條件下復合酶體系中不同的酶發揮各自的功效,是目前的一個技術難點。
本課題組在前期考察紙漿酶、果膠酶、纖維素酶等常用紡織用酶的酶學特性的基礎上J,主要研究這3種精練酶復配前后降解棉籽殼的情況。通過研究酶復配后對棉籽殼的降解效果,以及添加雙氧水后對降解棉籽殼的影響,為今后有針對性地選擇合適的復合酶應用于棉坯布前處理提供參考。
1試驗材料與方法
1.1酶制劑和藥品
紙漿酶PulpzymeHCCKN00112(主要組分是木聚糖酶,諾維信公司);堿性果膠酶EZM-02、纖維素酶EZM-04、過氧化氫酶ArgaltraSL(上海雅運紡織助劑);果膠76280和燕麥木聚糖X-0627(美國Sigma公司);羧甲基纖維素鈉等其它藥品(國產分析純,國藥集團化學試劑有限公司)酶活測定見文獻J。
1.2棉籽殼
棉籽殼風干后經粉碎機粉碎,用4O目篩孔將棉籽殼屑與棉短絨分離,收集不能通過4O目篩孔的棉籽殼屑顆粒備用。
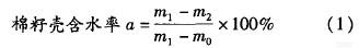
1.3棉籽殼含水率的測定
用已烘干至恒重的陶瓷坩堝,質量為t'n。;裝人一定量的棉籽殼后稱重,質量記為m。;105℃烘至恒重,在干燥器中平衡半小時,稱重,質量記為m:。按式(1)計算棉籽殼含水率0:
.jpg)
1.4精練酶水解棉籽殼
1.4.1單一酶水解棉籽殼
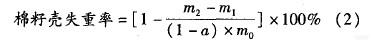
在最適反應條件下,采用單一酶水解lg(風干重)棉籽殼,其中紙漿酶稀釋35倍(4U/mL),pH值8.0,70℃,100 r/min水浴振蕩;果膠酶稀釋10倍(2U/mL),pH值11.0,60℃,100r/min水浴振蕩;纖維素酶稀釋10倍(4.8U/mL),pH值5.0,60cC,100r/min水浴振蕩。浴比為1:10,水解時間為10h,每隔lh取樣,利用DNS液顯色法測定酶解液中還原糖的量,并計算還原糖得率以表征酶解效果。以相應的僅用pH值緩沖液處理的為空白對照。按式(2)計算棉籽殼失重率:
![]()
式中:m2——棉籽殼的含水率
m 0——干棉籽殼處理前的質量
m1——酶解殘渣質量
棉籽殼中含纖維素約37%,半纖維素約25%[9],因此還原糖的理論總量為水解前的棉籽殼質量×62%,按式(3)計算還原糖得率:
![]()
相關信息 







推薦企業
推薦企業
推薦企業