一、粗紗張力和粗紗伸長率
(一)粗紗張力 張力是指作用在紗條軸向的拉力,其表現形式為紗條的緊張程度。在粗紗卷繞過程中,為使粗紗順利地卷繞在筒管上,筒管的卷繞速度必須略大于前羅拉的輸出速度,于是紗條必然緊張而產生張力。紗條在前進過程中,又必須克服錠翼頂套管、空心臂、壓掌處的摩擦阻力,所以從前羅拉至筒管間各段紗條的張力不同。以壓掌至筒管處的卷繞張力最大,空心臂處的張力次之,前羅拉至錠翼頂管處的紡紗張力最小。
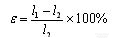
(二)粗紗伸長率 當紗條所受的張力較大時,紗條會因內部纖維間產生相對位移而伸長,其伸長程度可用伸長率ε來表示。
![]()
式中:l1——筒管卷繞的實測長度(m);
l2——前羅拉輸出的計算長度(m)。
由于紡紗段為紗條形成區,捻度小且不穩定,雖然紡紗段張力最小,但卻最易伸長,因此,習慣上把該段紗條張力稱為粗紗張力。粗紗張力的細小變化,都會敏感地影響到伸長的大小,從而影響粗紗的重量不勻和條干不勻,所以紡紗時要求粗紗張力保持適當大小,既不破壞輸出須條的均勻度,又要保證足夠的卷繞密度。
(三)粗紗張力與伸長率的關系 粗紗張力可通過目測觀察紡紗段來確定,紗條張緊,則張力大,紗條松弛,則張力小。目測觀察僅可定性分析而不能定量分析,故生產中可以用伸長率來間接地反映粗紗張力的大小。影響張力變化和伸長率變化關系的因素有原料、紡紗品種、錠翼結構與材料、是否采用假捻器及假捻器的結構與材料、機器斷面尺寸、卷繞尺寸、工藝速度、車間溫濕度等。在采用一定假捻方式、車間溫濕度正常的情況下,可以用粗紗伸長率作為檢測粗紗張力的間接方法。此時,伸長率應控制在1.5%~2.5%范圍內,最大不宜超過3%,伸長率差異應控制在1.5%以下。
相關信息 







推薦企業
推薦企業
推薦企業