超細錦綸纖維的結晶度和取向度比較高,分子主鏈上含有酰胺基(一CONH一),分子鏈中不含有支鏈和體積較大的苯環,是一種熱塑性纖維。超細錦綸纖維比普通錦綸纖維的比表面積大,且表面形態呈凹凸狀,更增加了纖維表面的吸附能力,因此吸附染料快。此外,纖維的半徑小,染料擴散進纖維的路程短,擴散時間短。從而使超細錦綸織物染色較普通錦綸織物上染速率快、勻染性差,染色提升性好、顯色性很差,染色牢度差,染色較難控制,即對染色工藝要求較高。本文從影響超細錦綸纖維染色的溫度,pH值等主要工藝因素人手,希望能探索出較為合理的染色工藝條件。
1 實驗部分
1.1 材料與儀器
試樣織物為錦綸超細機織物。試劑:弱酸性藍AR,弱酸性紅A-2BF,弱酸性黃PA(浙江龍盛染料化工廠)等,陰離子型勻染劑RS(分析純),醋酸銨,醋酸(天津市化學試劑三廠)均為分析純。
儀器有電子恒溫不銹鋼水浴鍋HHS-2S(上海光迪儀器設備有限公司),V571B摩擦牢度測試儀(溫州紡織儀器廠), SF300測色配色儀(思維士顏色科技有限公司),VIS-7200分光光度計(山東天美科學儀器設備有限公司)。
1.2 超細錦綸織物染色工藝
染色處方:染料2%(owf);醋酸及醋酸銨(調pH值=5.5);勻染劑2% (0wf );浴比1:50。
工藝流程:3O℃入染一O.5℃/min升溫至4O℃一保溫1O min--0.5℃/min升溫至50℃一保溫10 min—O.5~1℃/min 升溫至100℃一保溫50 min一水洗一固色。
1.3 測試方法
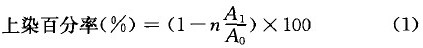
(1)上染百分率用VIS-7200型分光光度計在最大吸收波長處測定染液的吸光度,根據式(1)計算上染百分率:
![]()
式中,A1 為染后殘液稀釋a倍后的吸光度;A。為空白染液稀釋b倍后的吸光度; n=a/b ,即染后殘液稀釋倍數與空白染液稀釋倍數之比。
(2)勻染性任意取

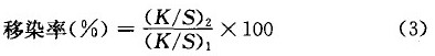
(3)移染性取1/2染色工藝(不加助劑)染出的布樣,與相同規格相同質量的錦綸白布縫合在一起,放人不含染料的移染液中,按染色工藝移染,分別測定被移染原布和移染布的K/S 值,移染率按式(3)計算:

式中,(K/S)1 、(K/S)2分別代表移染后原色布、白織物的K/S值。
(4)牢度摩擦牢度按GB3920-1997紡織品耐摩擦牢度試驗方法測定;皂洗牢度按GB3921—1997紡織品耐洗色牢度試驗方法測試。
2 結果與討論
2.1 染料選擇
選用不同酸性染料染色結果見表1。
從表1可看出,弱酸性染料的上染率和牢度相對酸性染料略好。弱酸性染料用于錦綸染色,染色飽和值往往超過氨基的含量。這是因為染料在與纖維發生離子鍵結合的同時,氫鍵和范德華力起著不可低估的作用。染深色效果比較好。所以,從染料的上染率、染色牢度、勻染性等因素考慮,應選擇弱酸性類染料進行染色。

2.2 染料濃度
從表2可看出,隨著染料濃度的增加,K/S值有增大趨勢;但染料濃度達到3%時,K/S值趨于緩和,增加緩慢,染料的上染百分率趨于下降。這說明染料上染織物的染座達到飽和。

2.3 染色溫度
在陰離子型表面活性劑濃度2%(owf ),浴比1:50,用醋酸及醋酸銨調節染浴pH值=5.5,按最終保溫溫度5o、60、100、 105℃測定上染百分率和K/S值,其結果見表3。

由表3可知,染料在50~100℃時,染料的上染百分率增加很快,這個階段的升溫速率需要很好地控制。比較100、105℃ 的染色情況,染料的上染百分率和K/S值變化很小,且從節約能源的角度考慮,應選100℃的保溫溫度較好。
2.4 染色時間
按升溫曲線升到1

2.5 染浴pH值
用醋酸及醋酸銨調pH值為3.5、4.O、4.5、5.0、5.5、6.O,測定錦綸超細織物的上染百分率和K/S值,結果如表5、表6所示。


由表5、表6可看出,pH值越低,表觀色澤越深,上染率高,但勻染性、透染性變差。同時在pH值過低時,錦綸纖維的水解程度加劇,織物的強力下降。用弱酸性染料染色,染色的飽和值往往超過氨基的量,因為在染料與纖維發生離子鍵結合的同時,氫鍵和范德華力起著不可低估的作用。但pH值過高,染料的上染率下降。因此,綜合考慮,應選用pH值為5.5最好。
2.6 勻染劑
在勻染劑濃度為1.O%、1.5%、2.0% 、2.5% 、3.O %,測定錦綸超細織物的上染百分率和K/S值,結果如表7所示。
勻染劑用量不同,對超細纖維基布外觀色澤和染透性影響顯著。從表7可看出,當勻染劑濃度提到2% 后,上染百分率有明顯提升。弱酸性藍AR和弱酸性嫩黃在勻染劑的濃度高于 2.5% 后,上染率有所下降。這是勻染劑同錦綸超細織物、染料間發生作用的結果,織物上的染座被勻染劑占據,酸性染料不易上染。故勻染劑濃度2.0% 為宜。
2.7 助劑勻染性和移染性
助劑勻染性和移染性測試結果見表8。


移染性顯著增加,可提高在最終染色階段織物上染料的移染性和遮蓋性,使染料更好地
相關信息 







推薦企業
推薦企業
推薦企業