細紗的加捻與卷繞和細紗的成形
一、細紗的加捻過程
(一)加捻卷繞過程
1、細紗的加捻:紗條的加捻,其實質就是利用須條橫截面間產生相對角位移,使原來伸直平行的纖維與紗軸發生傾斜來改變須條結構。紗條由扁平狀形成近似的圓柱形。
2、細紗的卷繞:細紗的加捻與卷繞是同時進行的。由于鋼絲圈在跑道上受到摩擦阻力與空氣阻力,使鋼圈速度滯后于錠子速度,兩者的速度差便產生了卷繞。
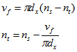
3、不考慮捻縮,繞紗速度等于前羅拉輸出須條速度:
可見,剛絲圈的轉速或對紗條所加的捻度隨卷繞直徑的變化而變化。在卷繞大直徑時鋼絲圈轉速快,在卷繞小直徑時轉速慢,這種大小直徑轉速差1.5%左右,從而使紗管捻度相差1.5%左右。但在后序的軸向退繞時,將自行補償這差異而不影響成紗捻度。
(二)細紗捻系數與捻向的選擇
1、細紗捻系數的選擇
捻系數越大,細紗捻度越大,細紗強力越高,細紗斷頭越少,但手感發硬,細紗產量越低。細紗捻系數應根據產品用途及細紗的質量要求而定。
經紗與緯紗:經紗因在織造過程中承受張力與摩擦,強力要求高,捻系數需大些;緯紗在織造過程中承受張力較小,過大的數易出現緯縮疵點,捻系數應小些。一般同特數相比經紗比緯紗高10-15%。
針織用紗的捻系數低于機織用紗,一般與接近于緯紗的捻系數。因為一般針織物要柔軟。
細紗的越細時,則捻系數應偏小。因紗細時,纖維根數少,強力低。
一般捻系數在330-400。
2、細紗捻向的選擇:一般選用Z捻,在化纖混紡時,為了使織獲得不同的風格,常使用不同的捻向。
二、細紗卷繞過程
1、對管紗成形要求:卷繞緊密,層次清楚,高速退繞時不糾纏。管紗的成形要求卷繞緊密、層次清楚、不相糾纏,有利于后道工序高速退繞。管紗的卷裝尺寸或容量除直接緯紗受梭子內腔尺寸限制外,應盡量增大容量,以減少細紗工
2、細紗的卷繞方式:圓錐形交叉卷繞。
3、細紗的卷繞過程
(1)鋼領板短動程升降一次,繞紗兩層。
(2)鋼領板上升時繞紗密稱為繞紗層;鋼領板下降時繞紗稀稱為束縛層。
(3)鋼領板每次升降之后上升一定距離,稱為鋼領板的級升。
(4)管底成形部分,每層紗卷繞高度和級升漸大;管底成形結束后,每層紗卷繞高度和級升為一常數。
(5)管紗成形角為γ/2=12.5-140。
(6)對鋼領板的運動要求
細紗機的卷繞方程
卷繞速度
升降速度
相關信息 







推薦企業
推薦企業
推薦企業