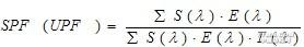
防曬因子(SPF)和紫外防護因子(UPF)其中SPF(Sun Protection Factor)用于化妝品行業,UPF(UV Protection Factor)用于紡織行業。紫外線輻射防護因數UPF也稱為紫外線遮擋因數或抗紫外指數,它是衡量織物抗紫外性能的一個重要參數。UPF值是指某防護品被采用后,紫外輻射使皮膚達到某一損傷(如紅斑、眼損傷、甚至致癌等)的臨界劑量所需時間閾值,與不用防護品時達到同樣傷害程度的時間閾值之比,換句話說,是皮膚在使用紡織品前后可接受紫外線輻射量之比。即在一定的輻射強度下,皮膚在使用紡織品后可延長輻射時間的倍數。比如在正常情況下裸露皮膚可接受某一強度紫外線輻射量為20min,則使用UPF為5的紡織品后,可在該強度紫外線下暴曬100min。根據著眼點不同,以及人體皮膚的差異,從理論上講,某一防護品將有許多UPF值,但一般常以致紅斑的UPF值作為代表。另外,紫外輻射的強度、穩定性、再現性和時間延續性,均難以掌握,所以目前大多采用人工模擬光源。UPF的定義與測試,同樣是建立在織物紫外光譜透過率的測試基礎上的。測算SPF〔UPF)值的方法,可采用下式:
式中λ—光波波長(nm); E(λ)—紫外輻射在各波長段的強度; E(λ)﹒e(λ)表征在不加入防護措施時,紫外輻射在各波長段直接損害人體的強度密度值。T(λ)—紫外輻射在某波段的透過率(吸收率、透過率和反射率之和可視為1)1995年改為以下公式:
S(λ)—相當于e(λ) 或采用下列公式:
式中:T(λ)——試樣的光譜透射比;E(λ)——相對紅斑量光譜影響力(效應)S(λ)&
相關信息 







推薦企業
推薦企業
推薦企業