1.2氧漂活化劑
雙氧水漂白的紡織品白度純正,穩定性良好,沒有污染,不腐蝕設備,所以此法廣泛用于纖維素纖維和其他纖維的漂白.雙氧水漂白機理至今未有定論,大多數可接受的機理有:(1)過氧化氫作為一種弱酸,在堿性介質中離解為過氧化氫負離子(H:O:+OH一≠HOO-+H20);(2)過氧化氫負離子又是一種親核試劑,能引發過氧化氫形成游離基(HOO一+H202≠HOO-+HO·+0H一),兩者都具有活性,可使色素氧化分解產生漂白作用.但傳統氧漂工藝因為雙氧水活化能較高,必須達到活化能才能分解出有效的氧化劑HOO一或HOO·,故必須在95℃以上高溫、pH 11左右才能分解,分解率約為80%.同時,還存在歧化反應,有效利用率約50%.冷軋堆練漂時,利用率僅20%左右,大部分被無效分解,加入穩定劑目的是降低分解,提高利用率.常用穩定劑中,水玻璃分解率為46%,AR一750為l 3%'Prestogen EB為l 6%,但都要在95℃漂白,能耗很高.
為使雙氧水能在較低的溫度下分解并提高其利用率,必須降低分解活化能,并控制分解速率.從家用洗滌劑中除過硼酸鈉氧化劑外添加活性劑使漂白溫度降低受到啟發,提出氧漂活化劑用于纖維素纖維漂白.【81比較成熟的是四乙酰乙二胺(TAED)和壬酰基氧苯磺酸鈉(NOBS)19I,這類漂白活化劑與HOO一作用生成漂白能力明顯強于雙氧水的過氧羧酸,從而使漂白可在較低溫度下進行陋12l,反應式如下:

由于過氧乙酸的氧化電位很高(僅次于臭氧),所以具有低溫漂白作用,可以在70℃、pH 10.5條件下漂白,白度超過常規氧漂丁藝,并可減少纖維損傷.
NOBS稱為第二代漂白活化劑,屬于釋氧活化能更低的品種.NOBS在40~50℃即能產生壬基過氧酸負離子,反應式如下:

由于溫度更低,對纖維損傷很小.因為必需在堿性條件下生成過氧化氫負離子,pH應控制在10.5,但是在生成壬基過氧酸負離子的同時,產生酸性很強的對羥基苯磺酸。不利于過氧酸負離子的產生.
TAED是非離子型,NOBS為陰離子型.如果羧酸的碳原子數小于8,生成的過氧羧酸能溶解于水中,不易吸附到纖維上,使纖維表面的過氧羧酸濃度與水溶液中相同,則雙氧水活化效率較低,漂白效果較差,這種活化劑稱為親水性活化劑,如TAED.如果過氧羧酸的碳原子大于8,則不易溶于水,而被纖維所吸附,使纖維表面上過氧羧酸濃度高于水溶液,其雙氧水活化效率高,漂白效果也好,這種活化劑稱為疏水性活化劑,如NOBS.
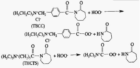
繼TAED和NOBS之后,20世紀初又開發了N一酰基己內酰胺(N—Acyl c印rolactam)類陽離子活化劑,在漂白液中更易被呈陰離子性的纖維吸附,活化能力更強,在冷軋堆練漂工藝中,可由24 h堆置縮短到4~6 h;在雙氧水熱漂工藝中,溫度可降低,有利于節能和保護纖維不受損傷.這類活化劑的品種有N七4七三乙基銨甲撐)苯酰基】己內酰胺氯化物(TBcc)和6七N,N,N一三甲基銨甲撐)己酰基己內酰胺對甲苯磺酸(THC偈),它們與過氧化負離子在堿性條件下反應生成N一4一三乙基銨甲撐苯甲酰過氧酸。

<<上一頁[1][2][3][4][5]下一頁>>
相關信息 







推薦企業
推薦企業
推薦企業