1)雙噴嘴加捻器對紗條的加捻過程
如圖4—19所示,棉條喂入經四羅拉(五羅拉)雙短皮圈超大牽伸裝置的牽伸(牽伸倍數150~300倍)后,抽長拉細到規定的成紗線密度,再由前羅拉輸出。噴嘴加捻器的吸口與前羅拉鉗口之間的距離為7~11mm,可根據所紡纖維長度進行調節。前皮輥和前羅拉鉗口的切線與車面水平線之間的安裝傾角由于皮輥前沖而變為53°-54°,而吸口紗道的軸線與水平線之間的安裝傾角為49°~50°,所以噴嘴紗道軸線與前羅拉鉗口切線的夾角約3°-5°,如圖4—20所示。這一夾角可保證由前羅拉輸出的纖維須條先粘附在前羅拉表面,稍稍增加須條輸出時無捻區的長度,有利于纖維分離和頭端自由邊纖維的形成。
依靠噴嘴加捻器吸口中的負壓,輸出的纖維須條被吸人噴嘴加捻器中,在噴射氣流的作用下加捻。如前所述,加捻器由第一噴嘴和第二噴嘴串接而成,兩噴嘴的噴射氣流旋轉方向相反,第二噴嘴氣壓大于第一噴嘴。須條受到兩股反向旋轉的氣流作用而獲得捻度,被加捻的紗條由引紗羅拉引出,經電子清紗器、在線檢測裝置后,直接卷繞成筒。
這樣的紡紗加捻過程與環錠紡、轉杯紡等加捻成紗過程完全不同。須條是如何獲得捻度而成紗的?紗的結構又是怎樣的呢?
2)噴氣紗的結構分析
圖4—21所示為噴氣紗的結構照片[24]。從這些顯微照片中,可以很明顯地看出,噴氣紗的結構完全有別于環錠紗、轉杯紗的結構。粗略觀察,圖(a)是包纏紗,有的包纏較緊,有的包纏較松,包纏纖維有的有規則有的無規則,等等。但紗體纖維形態為:

(1)主體紗芯幾乎沒有捻度,紗體纖維基本平行,外面纏了許多包扎纖維,如圖(b)。
(2)再仔細觀察,發現主體紗芯最外層的部分纖維并不基本平行,而有螺旋傾斜的“Z”向捻度,如圖(c)。
因此噴氣紗的結構可概括為:主體紗芯纖維基本平行,紗芯外層部分纖維有“Z”向捻回,其表面包扎了許多包纏纖維,即噴氣紗所謂的三層結構,如圖(d)。
如何解析這一噴氣紡紗
3)假捻一退捻一包纏
(1)加捻成紗的必要條件
①噴嘴加捻器的吸口距前羅拉鉗口7—10mm,大大小于所紡纖維的主體長度,形成非自由端;
②前羅拉輸出的須條要有一定寬度(扁平帶狀),并形成邊纖維(羅拉牽伸可以達到);
③兩噴嘴的噴射氣流方向相反且第二噴嘴氣流強度(氣壓)大于第一噴嘴。
(2)加捻原理
圖4—22為噴氣紡紗的捻度形成過程。
由于第二噴嘴氣流強度(氣壓及旋轉速度)遠大于第一噴嘴,因此從第二噴嘴到前羅拉鉗口間整段紗條的捻回由第二噴嘴的氣流方向決定;又因前羅拉鉗口處須條纖維的主體長度遠大于噴嘴吸口與鉗口間的距離,纖維處于被握持狀態(噴嘴屬非積極握持狀態),形成兩端握持(前羅拉鉗口和引紗羅拉)、中間加捻的非自由端假捻,第二噴嘴與前羅拉之間,整段紗條呈“S”捻,如圖4—22(a)和(b)所示。第二噴嘴出口之后紗條應逐步退捻至無捻。

位于第二噴嘴與前羅拉間的第一噴嘴,由于氣流強度弱且噴嘴加捻屬非積極握持狀態,第二噴嘴所加的捻回可通過第一噴嘴傳遞到前羅拉鉗口。第一噴嘴只能使紗條產生與第二噴嘴的氣流旋轉方向相反的小氣圈,減弱了第一噴嘴至前羅拉紗段上的捻回,形成弱捻區,并可借助其氣流旋轉使邊纖維初步以“Z”向包纏在“S”捻向紗芯上,如圖4—22(c)、(d)所示。整段紗條的捻度分布如圖4—23所示。

第一氣圈的高速回轉有利于前羅拉鉗口前須條外邊緣纖維的擴散和分離,形成頭端自由的邊纖維,如圖4—22(b)圖所示,它們未能及時被捻人紗芯中。這些頭端自由的邊纖維,一旦被吸人加捻器內,即在第一噴嘴旋轉氣流的作用下,部分按氣流旋向——“Z”捻方向繞在
(3)包纏纖維形態
包纏纖維形態可分有規律的螺旋包纏、無規律的螺旋包纏和無規律的包扎。運用假捻一退捻使紗芯外的纖維形成包纏有三種情況。
①簡單的包纏
假設紗芯外表附有自由纖維f,在假捻紗芯作Z向退捻時,纖維f以退捻方向包纏在紗芯須條上,如圖4—24所示,包纏的情況與纖維性質(長度、剛度)和紗芯接觸狀況有關,尤其在紡紗氣圈高速轉動時,自由纖維短或接觸不良,形成包纏的難度大。

②頭端自由纖維包纏
如圖4—25所示,自由纖維{的尾端被捻人紗芯,成為頭端自由的纖維,紗芯退捻時以退捻方向包纏在紗芯上(單噴嘴加捻器以此成為包纏成紗)。

③頭端自由纖維先初始纏繞再緊密包纏
頭端自由纖維在第一噴嘴氣流旋轉的作用下,在紗芯上形成“Z”向纏繞(初始包纏),紗芯退捻時,頭端自由纖維進一步緊密包纏,如圖4—26所示。

設頭端自由纖維的初始包纏數為T1,紗芯退捻數為T2,則最終紗條上此頭端自由纖維
的包纏數,理論上應為(T1+T2)。
綜合上述可見,雙噴嘴加捻器噴氣紡紗成紗的關鍵是:
①前羅拉輸出須條有一定寬度,要有一定數量的頭端自由的邊纖維可從須條中分離擴散出來。它是形成包纏纖維的基礎。
②第一噴嘴的準備作用:在前鉗口外的紗段形成弱捻區;小氣圈轉動促使邊纖維很好地分離擴散;頭端自由邊纖維吸入紗道后形成初始包纏。
③第二噴嘴的作用:對紗條積極加捻,使整段紗條上呈現同向捻回(假捻),在紗條退捻時獲得包纏真捻。
4)時差、捻差——形成真捻[25,29]
如圖4—27所示,前羅拉輸

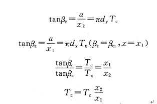
當邊纖維l的一端(頭端)在c點被捻入紗體、另一端(尾端)仍被羅拉握持時,邊纖維加捻點將向前羅拉鉗口回退移動;回退位移函數x=x(t),回退速度函數υ=……x。加捻點的回退后移使邊纖維獲得的捻回“TE”低于紗芯獲得的捻回“Tc”(都是“s”向假捻),即邊纖維與紗芯有一定的捻回差。在越過第二噴嘴后的假捻→退捻過程中,當邊纖維的捻回退至零后,紗芯纖維繼續退去它們之間的捻回差異部分。此時,邊纖維隨繼續退捻作用反方向旋轉而獲得了“Z”向捻回。從圖4—27可知

捻度差異為

5)綜合兩種理論學說,噴氣紗的結構應為:紗芯纖維無捻基本平行,紗芯表面層的纖維有少量或一定數量的“Z”向捻回,外表再由包纏纖維包扎成噴氣包纏紗,如圖4—21(d)。
相關信息 







推薦企業
推薦企業
推薦企業