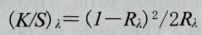
1.2.2.1 k/s值
用SF600X Datacolor計算機測色配色儀測定印花后織物的k/s值。按照Kuberlka-Munk理論,表達式如下:
式中:K 為吸收系數,X為散射系數,Rλ見為樣品光譜反射牢。
1.2.2.2 色差
用SF600X Datacolor計算機測色配色儀測定印花后織物的ΔE值。
I.2.2.3 滲透率
用SF600X Datacolor計算機測色配色儀測定印花后織物正反面K/S,然后用下列公式計算:
.jpg)
1.2.2.4 耐摩擦牢度
參照GB/T 392O一1997《紡織品色牢度試驗耐摩擦色牢度》測試,用灰色樣卡評定干摩擦布和濕摩擦布的沾色級數。
1.2.2.5 耐洗色牢度
參照GB/T 3921.1— 1997《紡織品色牢度檢測方法耐洗色牢度的檢測方法》在SW12A II耐洗色牢度試驗儀上測定,用灰色樣卡評定真絲織物的退色級數,用沾色樣卡評定貼襯的棉和真絲的沾色級數。
2 結果與討論
2.1 三甘醇比例對真絲綢活性染料單色印花品性能的影響
取尿素與三甘醇的混拼,比例分別為75:25、50:50、25:75、15:85、5:95及0:100(將全尿素印花時的尿素百分含量看作100%, 下同0,使用活性紅P—BN、活性黃P一6GS、活性藍P一3R及活性黑P—GR來調制色漿對真絲織物進行印花,印花后測得的K/S值與色差△E值與全尿 素印花品的K/S值和△E值比較, 結果如表1和表2所示。
相關信息 







推薦企業
推薦企業
推薦企業