當d3=0.4時,B與d1 ,d 2變化的函數為
.png)
當d3=0.8時,用同樣的方法討論B與d1 ,d 2的關系,可得B隨d1 ,d 2變化的函數為
.png)
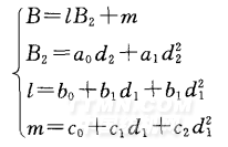
設求解B的函數為
.png)
其中,a0,a1,b0,b1 ,b2 ,c0,c1 ,c2是關于d3的函數,可以求出各系數與d3的線性關系式。 綜上可得,B與3種染料濃度的關系函數為
.png)
4 計算結果
根據建立的數學模型,利用牛頓迭代法反求染料質量濃度,并與實際測量的染料質量濃度進行對比,其結果見表6所示。根據表6可以看出,根據建立的數學模型求出的RGB值與實際測量的RGB值之間的誤差在誤差允許范圍之內。說明最小誤差平均值擬合法能夠較好地解決計算機染色配色的問題。
.png)
5 結束語
本文對織物染色配色進行了介紹,詳細描述了相應的分析過程和所建立的數學模型。通過對實驗數據的分析,利用最小誤差平均值擬合法建立了染料濃度與RGB值之間的數學模型,通過比較計算,所求出的染料濃度與實際測量的染料濃度之間的誤差在誤差允許范圍之內,基本符合實際,具有實際應用意義。但本文所用數據取自單一印染工廠,因此在普遍性上存在一定的局限。更廣泛染料類型的濃度與RGB值之間的關系,是本課題以后繼續研究的內容。
相關信息 







推薦企業
推薦企業
推薦企業