最終的G應該是一個在G2基礎上的變化曲線且相互之間為線性關系,因此,假設G最終的表達式為
G=kG2+b
式中,k和b為d1 的函數。
.png)
根據最小誤差平均值法和已知數據,可求得一次項系數k值和常數項系數b值與活性藍染料質量濃度d1 的關系,如表4所示。
根據表4中的數據,對k,b與d1 關系進行曲線擬合,
可以求出k,b與活性藍濃度d1 的關系式為
.png)
綜上可得,G值與活性藍染料濃度d 1及活性紅染料濃度d2的關系表達式為
.png)
3.3.3求解B值
由于B由d1 ,d2,d3共同決定,利用求G值同樣的方法先求出前兩種濃度對B的影響公式。
當d3=0.4時,固定d1可以得到d2由0.2變化到1時的曲線。根據曲線可求得B隨d2變化的形態曲線方程為
B2=20.557 ld2+8.214 3 d22;
B值最終的表達式為
B=lB 2+ m
式中,l,m為d1的函數。
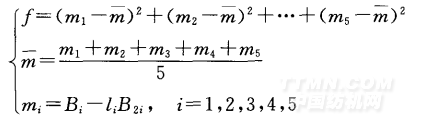
現在要求出l,m 的值,根據最小誤差平均值法,即要求滿足值并且誤差最小的l。對d2取5組數由最小誤差平均值法(2),有
.png)
根據最小誤差平均值法和已知數據,可求得一次項系數l和常數項系數m與活性藍染料質量濃度d1的關系,如表5所示。
.png)
根據表5數據,利用曲線擬合對l,m與d1 關系進行擬合,可得l,m與d1 的關系曲線。
<<上一頁[1][2][3][4][5]下一頁>>
相關信息 







推薦企業
推薦企業
推薦企業