將數據(x1 ,y1 ),(x2,y2),…,(xn,yn )代入式(2),得到g關于k的一元二次函數,求當g最小時的k值,即為滿足條件的最佳k值。根據已經求得的k值和已知數據,可以求出 ,即最佳b值。k,b均求出,則可以確定相應的直線方程y=kx+b 。
2牛頓迭代法
牛頓迭代法的基本思想為:設非線性方程f(x)在某一區間(a,6)內連續可導且滿足f(a) f(b)<O,則在 該區間內f(x)=0必有一實根,故設法將非線性方程廠f(x)=0逐步轉化為某種線性方程求解。
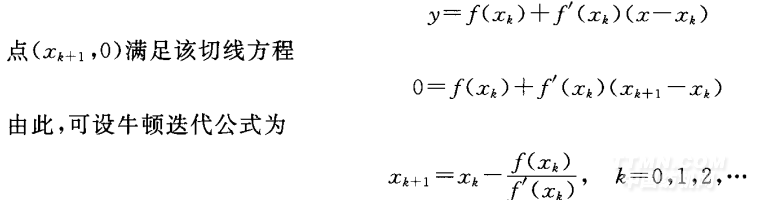
牛頓迭代法原理 :曲線y=f(x)與x軸的交點xm就是方程的根,設xk是它的一個近似根,過曲線y=f(x)上的點Pk [xk,,xk )]作切線與x軸的交點xk+1,切線方程為
.png)
3建立數學模型
3.1獲取實驗數據
實驗數據由相關印染企業提供,3種染料分別為:元青(活 性藍),3BS(活性紅),3RS(活性黃)。為保證實驗數據的準確 性,排除人眼色度誤差等干擾因素,利用同一臺掃描儀對同一批 次的染色試樣進行掃描,將掃描所得試樣存入電腦,再用軟件對 所得試樣取色,最終得到與濃度對應的RGB值。單一染料染色 試樣數據的RGB值,如表1所示。
.png)
3.2分析實驗數據
表1單一染料染色試樣的RGB值對所獲取的實驗數據進行分析,可知R值主要受活性藍的
質量濃度d1的影響,G值主要受活性藍和活性紅的質量濃度d1 ,d2的共同影響;B值受3種染料質量濃度d1 ,d2,d3的共同影響。由實驗數據和實際情況可做如下假設:
1)3種染料之間互不影響。
2) 實驗數據中存在一定誤差,由于實際應用中3以內的RGB數值變化并不影響肉眼的觀察,因此認為RGB值的合理誤差范圍為[一3,3]。
3) 由假設2)和實驗數據可知,R由d1 決定;G由d1 ,d2 決定;B由d1,d2,d3決定。
3.3建立并求解數學模型
<<上一頁[1][2][3][4][5]下一頁>>
相關信息 







推薦企業
推薦企業
推薦企業