![]()
編程直方算法對各類待印織物進行檢測試驗.結果表明織物圖像紋理的經紗方向和緯紗方向直方投影均能生成周期及幅度相對穩定的直方波形.如圖2所示。
.jpg)
依據此特點,用公式(3)、(4)進行直方投影重復累加運算能使隨機干擾趨于常值而且具有噪聲過濾功能。當緯、經紗線間隔和線徑一定時,沿緯、經紗線方向的直方投影等效于跟蹤檢測緯、經紗線線徑和間隔所形成的波峰與波谷,緯、經紗線會產生波峰,線孔間的灰度波動被累積放大.生成明顯的分界形成波谷.如圖3所示。
![]()
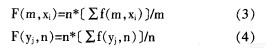
式q~F(m,xi),F(yj,n)分別為緯、經紗線方向灰度累加運算直方統計值:n為累加次數。
.jpg)
圖3中每一個波峰代表一根紗線。如果對移動中的待印織物的表面圖像連續進行掃描.然后依據以上識別算法對待印織物的表面圖像進行處理.就可以得到待印織物的表面圖像穩定的直方波形圖.
以此圖形就可以準確地計算出用紗線根數表示的待印織物所移動的距離。用紗線根數作為長度計量單位表示待印織物所移動的距離或移動速度.從而實現多套色印花的對花定位用該方法進行多套色印花定位能夠較好地解決由于待印織物遇濕變形所引起的對花不準問題
2 多套色印花定位系統設計
.jpg)
圖4所示為一個基于圖像識別技術的二套色圓網印花系統,其中計算機6為待印織物紋理圖形處理設備和運動控制系統的控制器.將圖像數據處理設備和運動控制器設置在同一計算機可簡化系統設計。進布裝置1將待印的織物送到印花毯9.線陣CCD2、線陣CCD4分別采集待印織物表面紋理圖象.作為織物表面經向定位參數:交流伺服驅動器7、交流伺服驅動器8根據計算機6的指令分別對交流伺服電機3、交流伺服電機5進行驅動:交流伺服電機3、交流伺服電機5分別對第一版和第二版的印花圓網進行驅動計算機為工業控制計算機.內置圖像采集卡和運動驅動卡分別作為CCD2、CCD4與交流伺服驅動器7、8的接口。
<<上一頁[1][2][3]下一頁>>
相關信息 







推薦企業
推薦企業
推薦企業