1-電磁夾滑行槽;2-電磁鐵本體;3-電磁夾夾持部分; 4a-電磁夾銜鐵吸上位置;4b-電磁夾銜鐵松開位置;5a-夾持裝置上升位置;5b-夾持裝置壓下位置;6-印花導帶
1.2對花誤差分析
當摩擦力F下降,可能造成ΔS增大,從上式可以看出,導致F下降的原因可能是電磁夾的夾持力N下降或摩擦系數k減小。
1.2.1摩擦力下降
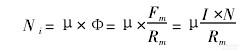
推進電磁夾采用高磁導率的純鐵制成,其夾持力:
.jpg)
式中:Fm———磁通勢;
I———推進電磁夾的勵磁電流;
N———推進電磁夾的線圈匝數;
Rm———推進電磁夾的磁阻
Φ———磁路中的磁通量;
μ———磁通率。
在實際生產過程中,勵磁電壓的變化可能造成勵磁電流I發生變化;推進電磁夾電磁線圈的斷路或短路可能造成線圈匝數發生變化;電磁夾更換等原因會造成其磁阻發生變化。這些原因都可能使推進電磁夾的夾持力下降。
印花導帶的長期使用,造成導帶邊緣由于摩擦變形而變滯、變硬、變薄,失去彈性等,使其與電磁夾的摩擦系數下降。
當推進電磁鐵發生勵磁線圈斷路、勵磁電路短路等狀況時,可能造成1個或幾個推進電磁夾不能工作,使有效的推進電磁夾數下降。
1.2.2控制程序的編制不合理
平網印花機的導帶推進時,印花網框開始做一次下降,當接近開關檢測到推進到位,且網框下降到中位時,推進電磁夾失電,保持電磁夾得電;當網框下降到底后,飛機架帶著推進電磁夾回程;當接近開關檢測到回程到位信號后,推進電磁夾得電,保持電磁夾失電,網框提升。
如前所述,飛機架在A、B兩點間往復運動,檢測其是否推進到位(B點)和回程到位(A點)的接近開關,由于安裝尺寸的原因,只能安裝在C點和D點。這就可能造成當控制計算機檢測到位時,飛機架并沒有真正到達機械限位,需延時Δt后才能真正推進(或回程)到位。另外,推進電磁夾、定位電磁夾、印花網框的時序存在配合問題,在編程控制程序中易忽視,可能造成ΔS變大。下面分析幾種常見的情況:
(1)推進結束時,導帶未被推進到位
可能有兩種原因:當檢測到推進到位信號后,若推進電磁夾立刻失電,保持電磁夾得電,會造成導帶不能被送到位;當檢測到推進到位信號后,推進電磁夾未失電,而定位電磁夾立刻得電,這時由于定位電磁夾的作用,使導帶的推進阻力增大,也可能造成導帶不能被送到位。
(2)回程結束時,推進電磁夾未回到位
當檢測到回程到位信號時,推進電磁夾立刻得電,由于此時導帶處于靜止狀態,推進電磁夾夾持住導帶后,便不能回程,也就不能回到A點,這樣會使推進導帶行程發生變化,從而造成ΔS增大。
<<上一頁[1][2][3]下一頁>>
相關信息 







推薦企業
推薦企業
推薦企業