除了活性染料的汗光牢度,其余一些染色牢度的分析和解決方法筆者已撰文論述。本文只對活性染料的汗2光牢度進行探討。
汗光牢度問題在夏季高溫潮濕的亞洲地區較為常見,歐洲一般不多見,發生此類現象的原因可從汗2光牢度的褪色機理上來分析。由于汗液中含有組氨酸,其實它是一種金屬螯合劑,可將金屬從絡合染料中奪取出來,使得原本耐光性很好的金屬絡合染料耐光性能急劇下降。近年來,棉用金屬絡合活性染料,除酞菁和Formazane(甲月替)類以外,已很少使用。而偶氮型活性染料受汗液中的乳酸組分影響,還原分解所導致的耐汗2光牢度的褪色機理屬光還原反應,與耐光牢度的褪色機理屬于光氧化反應不同。因此,耐光牢度好的活性染料不一定是耐汗2光牢度好的染料,耐汗2光牢度好的活性染料應具備較好的耐還原反應性。
偶氮型活性染料中的偶合組分若含有J酸和R酸的都具有良好的耐汗2光牢度,可達4~5級,但是這類染料都是橙黃色相的紅色譜。藍色相的紅色譜活性染料中的偶合組成為H酸,此類偶氮型紅色染料的耐汗光牢度很差,僅1~2級,即使改變結構后也只有3級。蒽醌型活性染料僅限于藍色,這類染料無論在氯化,還是還原條件下,耐光牢度和耐汗2光牢度都極佳。近年來一些公司相繼推出了一些耐汗2光牢度好的不含金屬絡合的活性染料,如Zeneca公司于1998年推出的4只具有卓越汗2光牢度和耐氯牢度的ProcionH2EXL染料系列,有綠寶石綠、寶石藍、翠藍及黃素(Flavine)。1998年住友公司推出的SumifixSupraHF及NF系列,日本化藥公司的KayacionE2LE系列染料,以及Clariant公司(科萊恩)的DrimareneCL2C型,汗2光牢度都可以達到4~5級。
日本關于耐汗2光牢度的測試方法原先有JISL0888,但是因為汗液組分有4種,沒有包含乳酸在內,因此往往出現牢度測試結果與實際不符的現象。能夠較好測試耐汗2光牢度的方法為ATTS(AssociationforTextileTechnicalStudy,日本紡織技術研究會)方法,其汗液由乳酸的七種組分組成。
6 致敏性分散染料
Oeko2TexStandard100的2002年版規定有20只致敏性分散染料。2003年修訂本指出C.I.分散橙76與橙37是同一化學結構式(C.I.結構號11132;CASNo.11131-61-6);2004年修訂本又增加C.I.分散橙1(C.I.11152,CASNo.23355-64-8),因此仍為20只。其中除了C.I.分散藍102、藍106、藍124和棕1,其余16只分散染料的相對分子質量都在270~340,是滌綸問世前醋酸纖維用染料。致敏分散染料問題有以下三方面:
(1)目前,醋酸纖維常用作里料,甚至也作為面料,常誤用致敏分散染料染色。
(2)因為這些分散染料相對分子質量小,經常用于滌綸轉移印花,在轉移印花紙生產廠調查發現,有部分致敏分散染料還在使用。例如:C.I.分散黃3(分散黃G)、黃9、橙3(分散橙GR)、紅1、紅11(分散紫)、紅17、藍3(分散藍FFR)和藍26等。轉移印花生產廠必須弄清楚所使用的轉移印花紙是否含有致敏性分散染料。
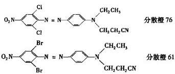
(3)復配型染料中有致敏性分散染料,最負盛名的如分散黑EX2SF300%是由C.I.分散橙76、紫93及藍291復配而成,因此必須另找復配處方來代替C.I.分散橙76。很多染料廠采用C.I.分散橙61來代替分散橙,兩者化學結構相近:

相關信息 







推薦企業
推薦企業
推薦企業