目前,使紡織品具有防紫外線性能主要有2種方法:一種是使用具有防紫外線功能纖維制成的紡織品,這類紡織品所用的纖維是添加了紫外線屏蔽劑的化學纖維或具有抗紫外線性能的天然纖維,此類紡織品抗紫外線性能持久;另一種是在織物后整理加工中,通過浸壓或涂層的方法,賦予紡織品防紫外線性能。利用具有防紫外線性能的天然纖維開發紡織新產品,是新產品開發的方向。
竹原纖維中所含的葉綠素銅鈉是安全、優良的紫外線吸收劑.竹原纖維織物比普通纖維織物具有更強的紫外線的吸收和反射作用,特別是在UVC區域更明顯。本文利用不同比例的竹原纖維紗與毛紗交織,探討不同竹原纖維含量的竹原纖維/毛交織花呢的防紫外線性能,以期為竹原纖維在精紡毛織物中的應用奠定基礎。’
1實驗部分
1.1實驗材料
采用竹原纖維/毛交織花呢,有A、B、C、D、E共5種試樣,各試樣中竹原纖維紗與毛紗的交織比例分別為60:40,40:60,20:80,50:50和80:20。
5種樣品采用同一規格,即采用19.6tex×2的竹原纖維紗與14.7tex×2的精紡毛紗進行交織,織物經、緯密分別為244根/10cm和216根/10cm。
1.2實驗方法
利用U.4100分光光度計測定竹原纖維/毛交織花呢在不同波段下紫外線的透過率、吸收率和反射率。由于國家標準中將紫外線透過率和紫外線防護系數UPF一起作為評價防紫外線性能的指標,因此本文根據測試數據進行紫外線防護系數計算和分析。
1.2.1透過率
紫外線透過率的計算公式為
.jpg)
式中:Tλ為波長λ處的紫外線透過率;△λ為紫外線光波長度間距;λ為紫外線光波長度;n1、n2為
波長。
1.2.2反射率和吸收率
織物對紫外線吸收和反射,會降低紫外線的透過率,提高織物對紫外線的防護能力。三者之間的關系為
透過率=100%—反射率— 吸收率 (2)
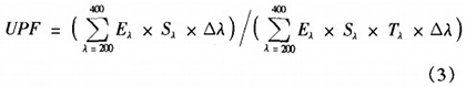
1.2.3紫外線防護系數
紫外線防護系數UPF與紫外線透過率互為倒數關系,計算公式為:
.jpg)
式中:Eλ為相對紅斑的紫外線光譜效能;Sλ為太陽光譜輻射能;Tλ為波長λ處的紫外線透過率;△λ為紫外線光波長度間距;λ為紫外線光波長度。
[1][2][3]下一頁>>
相關信息 







推薦企業
推薦企業
推薦企業