竹纖維是以竹子為原料生產的再生纖維素纖維,化學成分主要是纖維素、半纖維素和木質素,另外還有少量色素、灰分等其它物質。不同于棉、麻等纖維素纖維,用竹纖維紗線生產的紡織品具有獨特的風格,如環保、天然抗菌、抗紫外線、柔軟滑爽、懸垂性好、強力高、耐磨性好、吸濕性好、涼爽靚麗等特點。竹纖維中具有抗菌和防臭的微量元素,使其24 h的抗菌率達71%,大大高于其它纖維。本文就前處理工藝中竹纖維針織物的漂白工藝做些初步探索。
1 實驗部分
1.1 實驗材料和藥劑
材料:14.58 dtex竹漿紗針織物(市售)。30% H2O2 、碳酸鈉和硅酸鈉均為市售工業品。
1.2 漂白方法及處方
由于竹纖維耐堿、耐氧化能力較棉纖維差,所以采用氧漂工藝進行漂白時,要使色素等雜質在較溫和的工藝條件下去除,且能保持竹纖維天然特性不受破壞。同時竹漿纖維濕強較低,經堿、雙氧水處理又降低其強力,因此在煮漂前處理時要控制好堿和雙氧水的用量。
工藝處方:30% H 202 l,2,3,4,5,6,7,8,9,l0g/L,純堿3 g/L,硅酸鈉1 g /I 。
工藝條件:浴比1:5O,溫度3O,4O,5O,60,7O,80,9O,100 ℃,時間1 ,3O,45,6O,75,9O,1O5,120min
工藝過程:按工藝處方在室溫下配制漂白液,然后投入試樣,待升溫至一定溫度后保溫一段時問,漂白后充分進行水洗并白然晾干。
1.3 測試指標及方法
1.3.1 白度
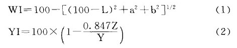
試樣的三刺激值X、Y、Z及I a b值在Data color600電腦測配色儀上測定,采用D65光源和 lo。觀察角。亨特白度(WI)用式(1)計算,黃度(YI) 用式(2)計算:
.jpg)
1.3.2 失重率
漂白前后的試樣在HD101A型電熱鼓風烘箱 (南通宏大實驗儀器有限公司)中105℃烘2 h,然后在電子臺秤上迅速稱重,按式(3)計算織物的失重率。<
2 結果與討論
2.1 雙氧水濃度、處理時間和處理溫度對白度的影響
2.1.1 雙氧水濃度的影響
雙氧水濃度對織物白度的影響結果如圖1所示。由圖l可知,隨著雙氧水濃度的升高,織物白度逐漸提高。當濃度小于5 g/I 時,隨著濃度的增加,
織物白度提高較快,黃度下降也較快;當濃度大于5 g/l時,隨著濃度的增加,織物白度提高較緩慢。而當濃度過高時,會對纖維造成一定的損傷,因此在實際生產中,雙氧水濃度的選擇應以既能達到一定的白度又不損傷或對織物損傷較小為宜,本研究條件下雙氧水濃度應選取5~8 g/ I 。
.jpg)
2.1.2 雙氧水處理時間和溫度的影響
為了確定不同處理時間和溫度對竹纖維織物漂白效果的影響,本文選定漂白溫度90℃ ,30% H2O27 g/L時不同時間及漂白時問60 min,30% H 2O2 7 g/l時不同漂白溫度條件下測試漂白效果,所得結果如圖2、圖3所示。
.jpg)
由圖2可知,隨著時間的增加,織物白度逐漸提高。在60 min之前,織物白度提高較快,60 min后,織物白度趨于穩定。考慮到成本及能源消耗問題,在此條件下,選擇漂白時間為60 min。
溫度對竹纖維漂白效果的影響如圖3所示,隨著溫度的升高,織物白度逐漸提高,黃度逐漸下降。在30~60℃ 時由于溫度較低,雙氧水分解速率緩慢,白度提高較慢;60℃以后,溫度升高,雙氧水分解速率不斷加快,當溫度為9O~100℃時,雙氧水的分解率達90%,白度最高。因此綜上所述,在此條件下,選擇漂白溫度為9O℃ 。
.jpg)
2.2 雙氧水濃度、處理時間和處理溫度對試樣失重率的影響
雙氧水濃度、處理時間和處理溫度對竹纖維織物失重率的影響。從如圖4~ 圖6所示。
由圖4可知,隨著雙氧水濃度的升高,失重率逐漸提高。當雙氧水濃度小于3g/L時,試樣失重較小;當濃度為3~6g/I 時,失重率
.jpg)
由圖5可以看出,隨著處理時間的增加,纖維失重率逐漸升高,90min時失重率基本達到最大。
由圖6可知,雙氧水漂白時,纖維的失重率隨溫度的升高而升高,在90℃ 時基本達到最大,可以給予織物較高的白度。
.jpg)
3 結語
通過對漂白溫度、漂白時問和雙氧水濃度對竹纖維針織物白度、黃度和失重率的影響研究,得出了采用常規雙氧水漂白工藝對竹漿纖維針織物進行漂白的最佳優化工藝方案為:30% 雙氧水7g/I 、溫度 90℃、時間60min。
相關信息 







推薦企業
推薦企業
推薦企業