熱定形中的熱傳遞
根據熱傳導、對流、輻射原理,假捻變形加工采用了幾種加熱器。其中傳導型加熱器用的最多,不過,對流型高溫加熱器近來也變得越來越重要。
紗線與加熱器的接觸時間取決于紗線速度和加熱器的長度,一般在0.2~0.5s的范圍內變化。在這么短的時間內,紗線溫度必須升高至200℃左右。紗線與加熱器接觸的同時,由于加捻而高速回轉。此外,除了與加熱器接觸加熱,紗線也受周圍表面的熱輻射作用以及加熱器表面的熱空氣的加熱作用。由于以上熱作用,紗線四周受熱均勻。
Egambarm、Afify和ELShiekh從事假捻變形加工的熱傳遞研究[39]。根據牛頓定律,紗線表面溫度的升高速率與加熱器溫度Th和紗線表面溫度Ts之間的溫差成正比。因此有:
其中s是比例常數。當初始條件為t=0,Ts=TR時,以上方程變為:
上式為紗線表面溫度的表達式,比例常數s取決于纖維種類和紗線線密度。s值越大,紗線溫度升高越快。
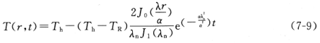
紗線在加熱區內加熱時,熱流從紗線表面流向紗線中心,因此,在紗線表面和中心之間存在溫度梯度。根據熱傳遞基本原理,將高捻紗視為實心桿(見圖7—24);并作進一步簡化,可得到以下式子:
式中:α為熱擴散系數;J0,J1為貝塞爾函數。
根據以上式子,可計算出沿紗線斷面的溫度。在常規假捻變形加工速度范圍和紗線線密度范圍內發現,紗線沿其斷面的溫度差異較小。
圖7—25和7—26給出了Egambarm等人[39]根據上式計算得到的溫度和實測溫度。
Coll—Tortosa[40]和Moussa[41]證實了,即使在接觸式加熱器中,熱量也主要通過對流方式傳遞。因此,紗線在加熱過程中的旋轉很重要。這意味著熱傳遞過程在很大程度上受到紗線和加熱器之間溫差的影響。
Callhoff等人[42]報道了新型冷卻材料的熱傳遞模型。通過使用金屬材料或陶瓷材料,對假捻變形加工過程建立新模型并進行測試。德國FurTextiltechnik研究院對新的絲路進行了試捻。使用高傳導系數的陶瓷材料,紗線和冷卻管表面間的熱傳遞最大。
相關信息 







推薦企業
推薦企業
推薦企業