劉倩 王海嬰
1 引言隨著電子信息和通信技術的迅猛發展,電子設備越來越多的應用于人們的日常生活和工業領域。同時,人員暴露于電磁輻射限值的EMC標準越來越嚴格,公眾對電磁輻射對人體的傷害越來越重視,目前已開發出很多種電磁屏蔽材料。電磁屏蔽織物正廣泛用于衰減電磁輻射,特別是射頻防護服的生產和制造。本文首先用經典屏蔽理論分析了電磁屏蔽織物的屏蔽效能,最后選取了幾種典型的屏蔽織物測試其屏效。
2 數值分析
為了準確評估射頻防護服的SE,需要首先研究屏蔽織物的特性。由于屏蔽織物通常由金屬纖維和普通棉纖維縱橫交錯混合紡織而成,如圖1所示,因此可將這種薄層屏蔽材料近似視為平面金屬絲網(圖2) 。
對電場而言, SE可用下式定義:
其中E1 表示屏蔽后的電場強度, E2 為未屏蔽情況下的電場強度。2. 1 金屬絲網的數學模型假設每個獨立網孔均為方形,且每個交點良好連接。當網孔尺寸相對于波長而言非常小時,這種良好連接的網狀屏蔽結構在電磁上可視為等效阻抗算子ZS 。該算子與空間平均切向電場ES 成正比,與空間平均表面電流密度JS 成反比,即ES = ZS ·JS (2)對于尺寸為αS ×αS 網狀屏蔽結構, 其等效阻抗為:
其中Z′W 為金屬絲單位長度的內部阻抗, ▽S 為表面微分算子。絲網的電感LS 和單位長度上的內阻抗Z′W 為
式中, R′W = (πr2WσW ) - 1是單位長度絲網絲的直流電阻,τW =μWσW r2W 是擴散時間常數, Bn (·)是n 階第一類貝塞爾函數。σW 和μW 分別是金屬絲的電導率和磁導率, K =ω√(μ0ε0,εr)是絲網兩側的電介質的相對介電
根據矩陣的特征值,可以得出:相對垂直于絲網平面的橫向電場波(TE) 傳播方式和橫向磁場波(TM)傳播方式的阻抗分別為:ZS1 = Z′W + jωLS = ZS (7)
對水平極化平面波:
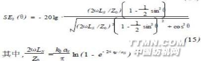
其中, Z0 = μ0 /ε0為空氣的特征阻抗。θ是絲網平面的法線與TEM入射平面的夾角。平面波的屏蔽效能為:SE12 (θ) = - 20 lg |T12 (θ)| (13)如果金屬絲網為完美導體,則SE1(θ)=-20lg·(2ωLS/Z0)cosθ1 +(2ωLS/Z0)2cos2θ (14)
當金屬絲的電導率為有限值時
根據以上分析,可以應用等效表面阻抗的概念和計算電磁學方法進一步評估射頻防護服的屏蔽效能。3 測試選取三種典型的電磁屏蔽織物材料:金屬鍍織物、不銹鋼纖維織物和耐久型織物。3. 1 電性能的測試表面電阻率直觀地反映材料的導電性。我們選取金屬鍍屏蔽織物進行表面電阻率測試。采用與涂層接觸面為10mm ×10mm的正方形棒狀電極進行對角測試,確保電極截面與被測樣品有良好的接觸,在測試時測量端面應施加2kg/ cm3的壓力,待測樣品與電極截面必須干凈,另外測試設備的精度不低于0. 001Ω。為了使得所測得
其中: RS1 = R1 / (18. 7 ×1) (20) RS2 = RS / (18. 7 ×1) (21)測試結果如表1所示。表1 表面電阻率測試結果
3. 2 SE的測試選用法蘭同軸方法對電磁屏蔽織物的SE進行測試,該方法為NBS推薦,且廣泛應用于測量平面材料對平面波入射的屏蔽效能(遠場) 。測試配置如圖3所示。
圖3 法蘭同軸法的測試配置由于在同軸傳輸線內的場為TEM 波, 采用特征阻抗為50Ω 的同軸裝置, 外徑為76mm, 內徑33mm,另采用一個133mm的法蘭連接, 使得同軸裝置兩端對稱的部分更好的耦合。用矢量網絡分析儀來監測插入損耗和反射損耗。校準后,將試樣裁剪為與法蘭相同的形狀尺寸,則可用通過測量S12或S21即可獲得試樣的屏蔽效能。該項試驗主要采用矢量網絡分析儀(HP8712B)和同軸測試裝置的進行,頻率范圍主要在300kHz - 1. 3GHz以內。若測試使用的網絡分析儀更精確,測試設備動態范圍足夠大, 則低頻可以測到1MHz。而對1. 5GHz以上的頻率,由于更高次模的引入將導致測試裝置內的場不再是TEM波,因此測試上限頻率不應超過模TE11的截止頻率:
D和d為同軸電纜的直徑。最終測試了三類十種典型屏蔽織物, 編號001, 006, 007, 008 為金屬鍍織物, 002, 004,005, 009, 012為不銹鋼纖維織物, 003號為耐久型屏蔽織物。
三類材料的測試結果分別如圖4, 5, 6 所示。矢量網絡分析儀的傳輸特性測試方式是以電纜及同軸裝置的直通狀態為基準,測試接入屏蔽織物以后的信號強度,并計算和顯示該信號強度相對直通狀態時信號強度的分貝數。由于接入屏蔽織物以后將導致通過信號的減弱,故測試結果往往是負的分
圖7為三類屏蔽織物的SE的比較。此外,為評估材料的耐磨損特性,所有的試樣都在洗衣機里洗滌了3次之后并重新測試。圖8為同種材料洗滌后的SE比較。圖中可見,金屬鍍材料表現出最好的SE,對平面波輻射達到70-80dB,不銹鋼纖維織物為20-40dB,耐久型屏蔽織物約為30dB。三類材料中不銹鋼纖維材料屏效的頻響變化最大,在300kHz-1. 3GHz頻率范圍內,不銹鋼纖維材料屏效的頻響隨頻率增加呈增加趨勢,變化可達10-20dB,在頻率低端效果差;耐久型材料屏效的頻響隨頻率增加呈增加趨勢,整體變化穩定,300kHz附近的屏蔽效能略低于30dB, 1.3GHz附近略高與30dB,變化約5dB左右;金屬鍍材料頻響整體相對平坦,局部區間振蕩起伏改變明顯,局部變化可達10dB。金屬鍍材料屏蔽效能下降比較明顯,約20-30dB,但其屏蔽效能依然大于50dB,而不銹鋼材料和耐久型材料屏蔽效能基本不變。4 結語本文從理論分析和實際測試兩個角度評估了電磁屏蔽織物的屏蔽效能。用法蘭同軸法對三類典型屏蔽織物進行了測試,并分析比較了SE、頻率響應和耐洗滌性。在未來的工作中,將進一步開展射頻防護服的SE的估算研究。
參考文獻[1]L iu Dichen, Deng Suqiao. The Study of MetalMeshes on Electromagnetic Interference Shielding Effectiveness [C]Asia-Pacific Conference on Environmental Electromagnetics.CEEM,2000,5[2]Satoru Kurokawa , Toru Sato. A Design Scheme for Electromagnetic Shielding Clothes vi
相關信息 







推薦企業
推薦企業
推薦企業